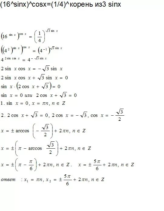
Cosx корень 1 sinx 2