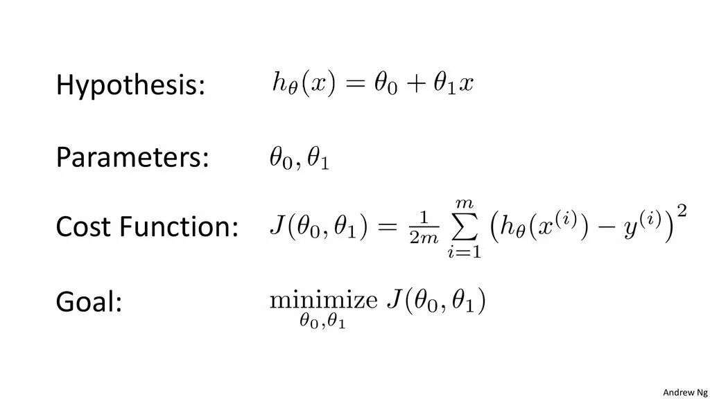
Cost function