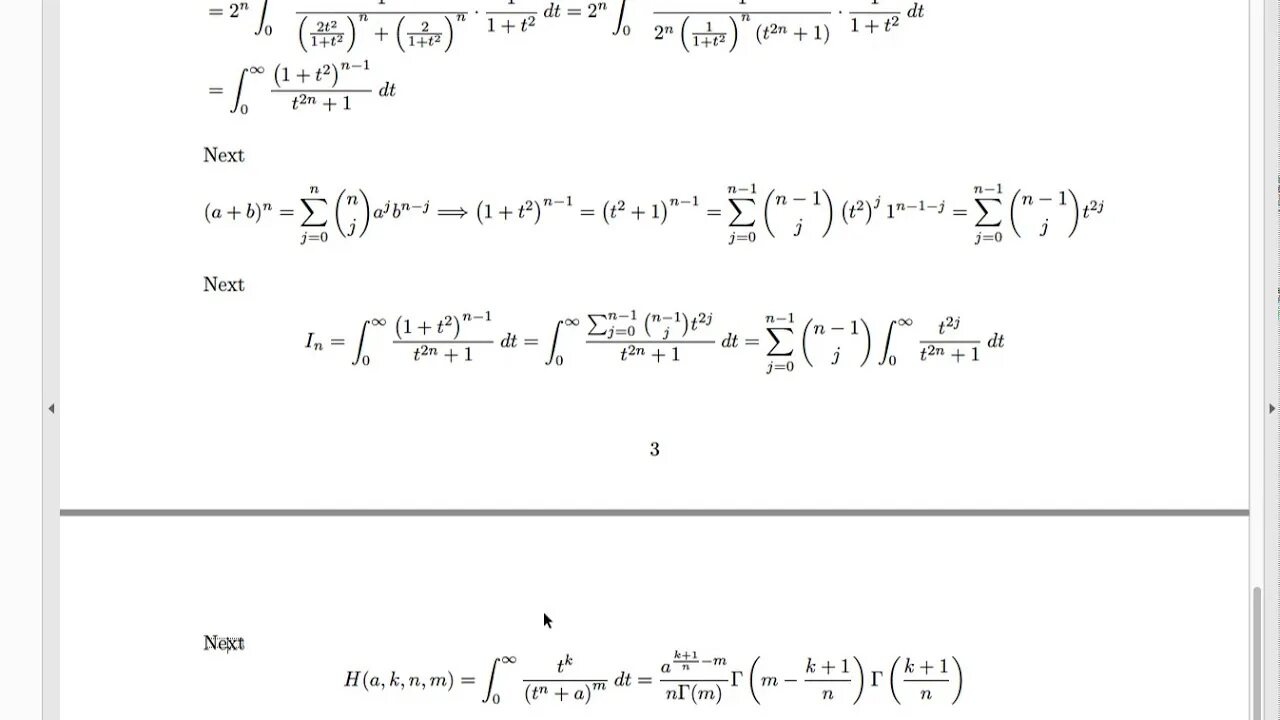
Cos x 2 n 4 1