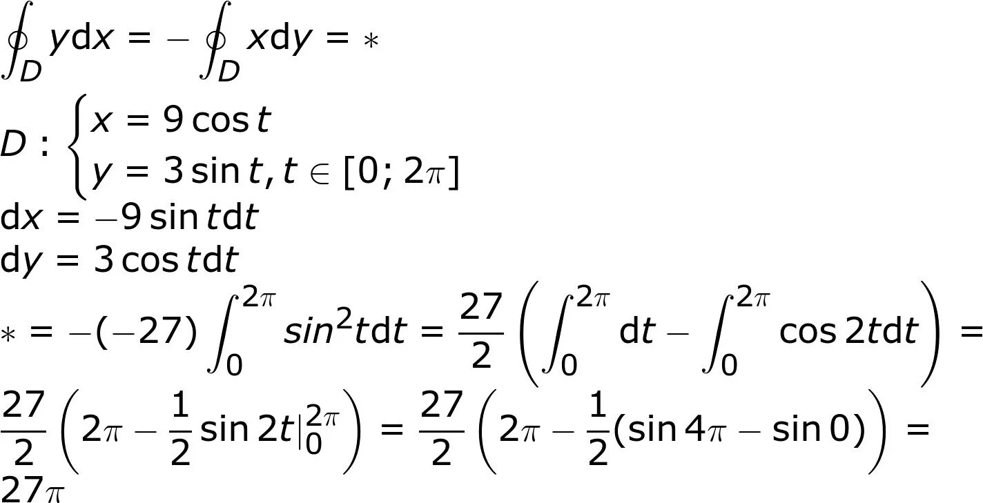
Cos t 1 2 sin t 0