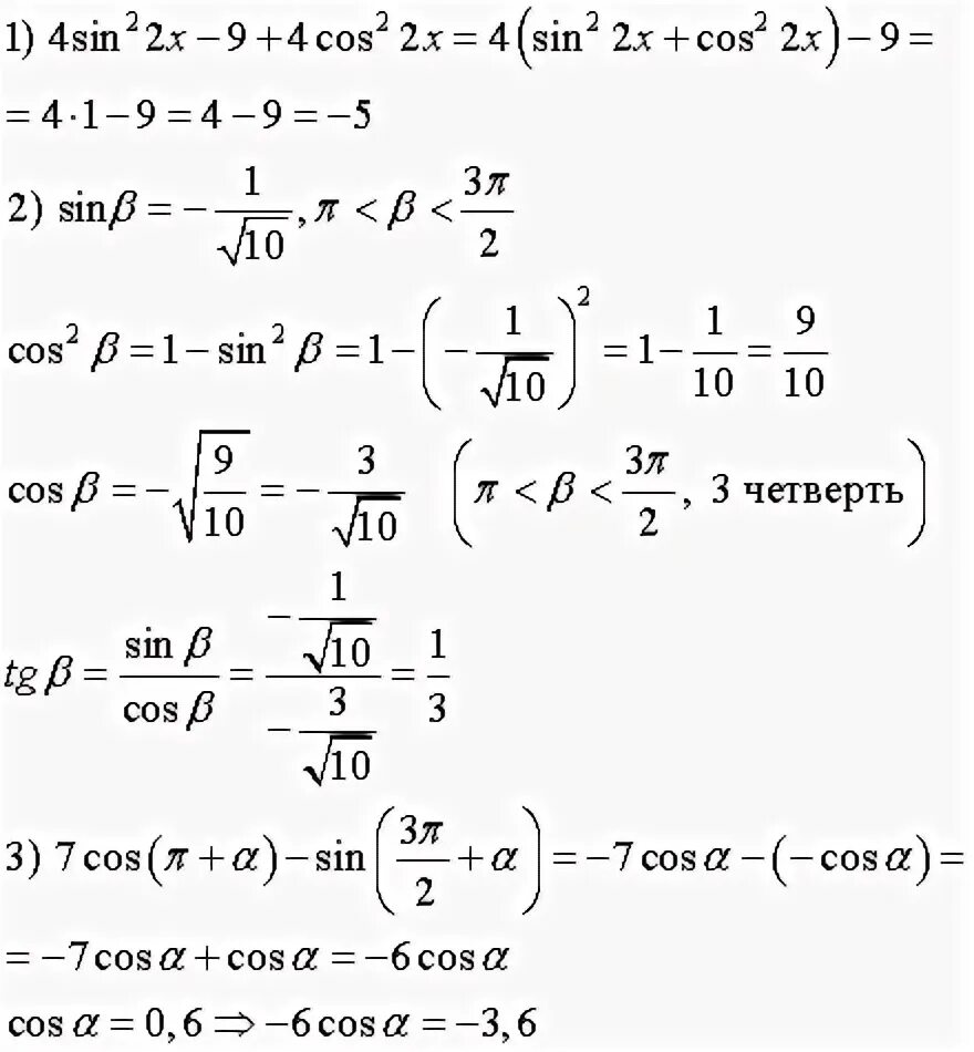
Cos pi b