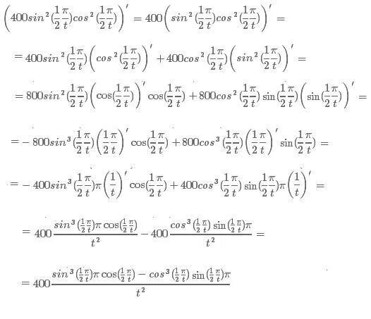
Cos pi 2 t