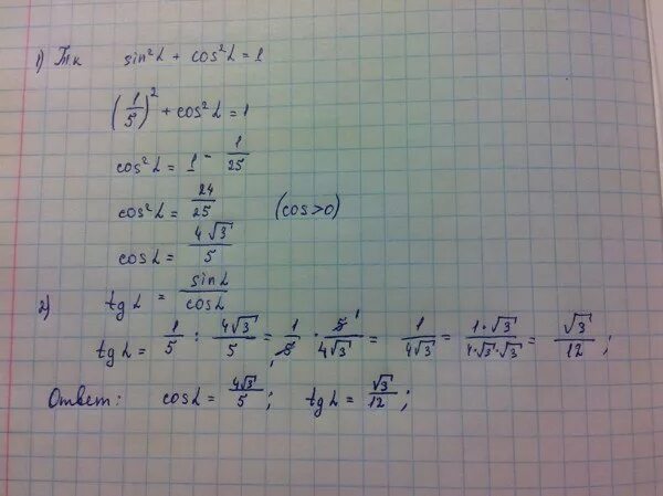
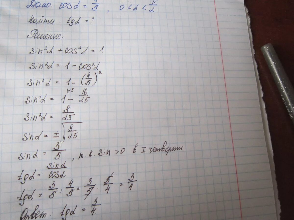
Cos 4 5 найти tg