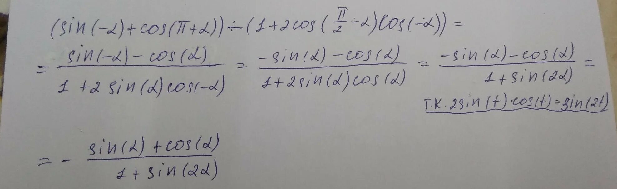
Cos 2pi pi