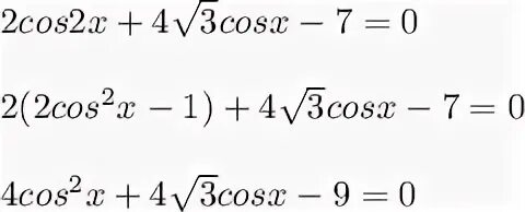
Cos 2 3x cos 2 4x