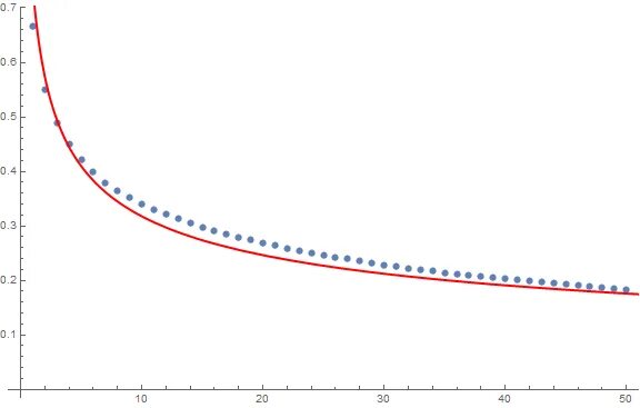
Correlation functions