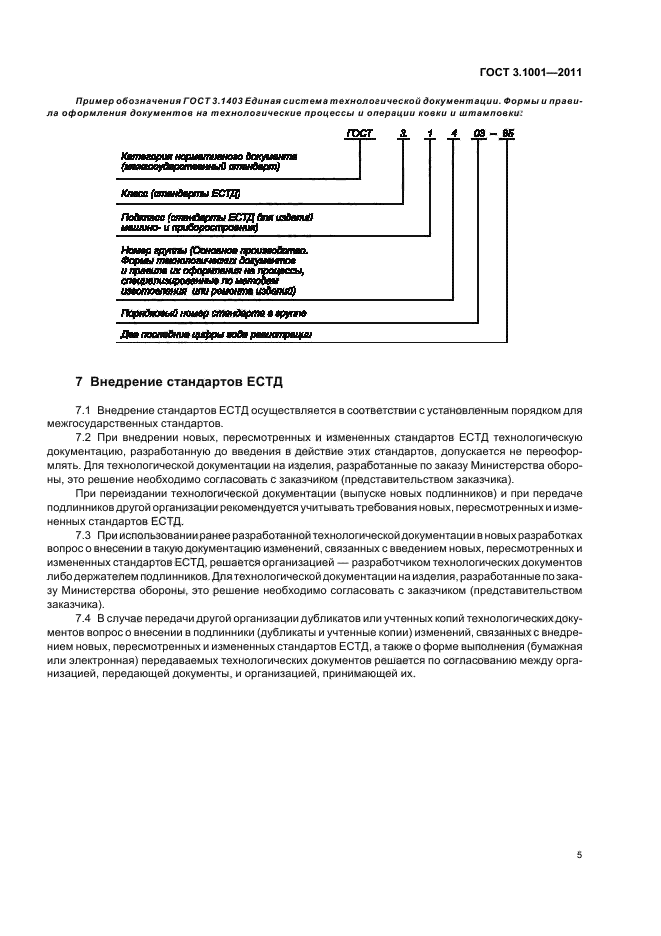
Что такое ескд и естд для чего