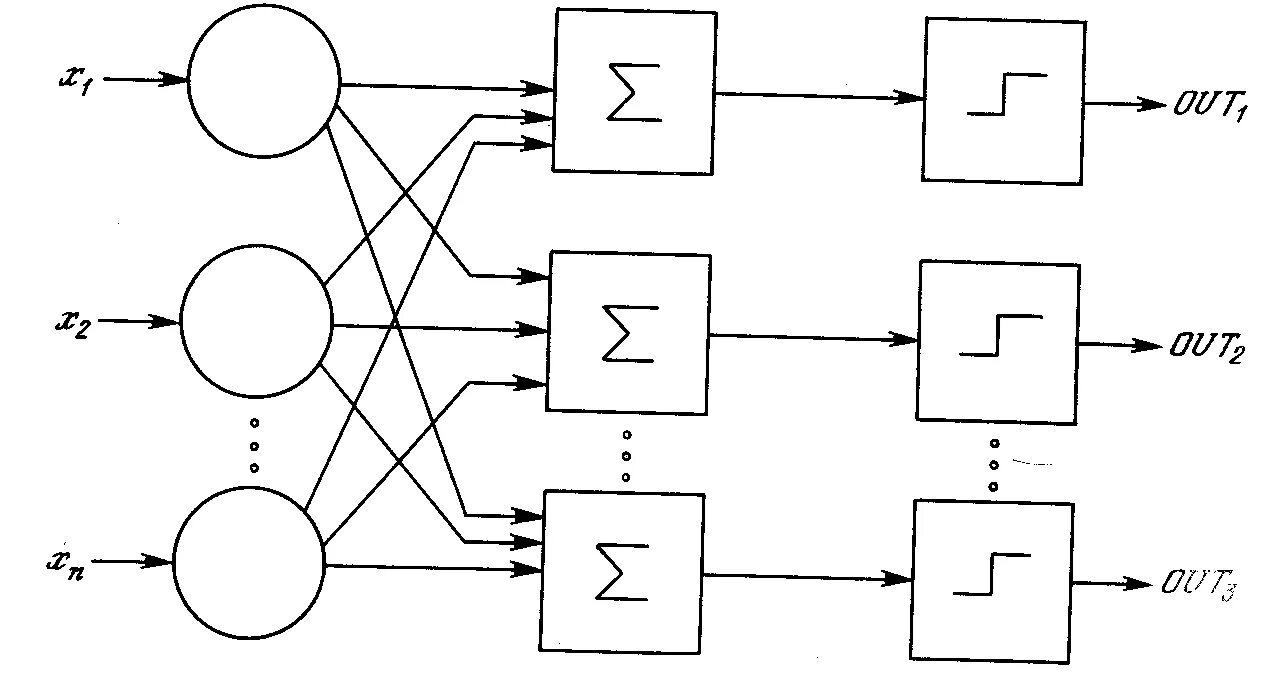
Что содержится в весах персептрона