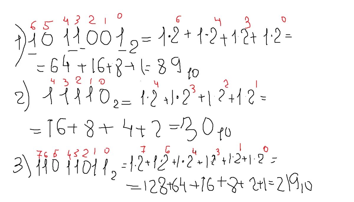
Число 11110 в десятичной системе счисления