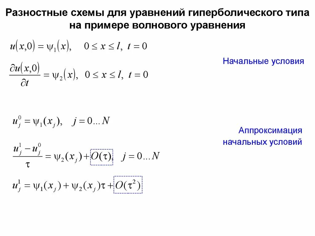
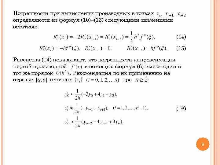
Численное решение частных производных