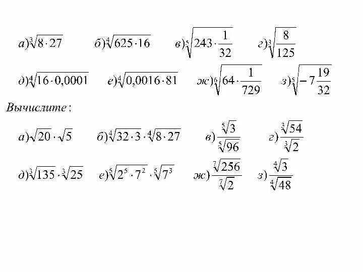
Числа корни и степени задания