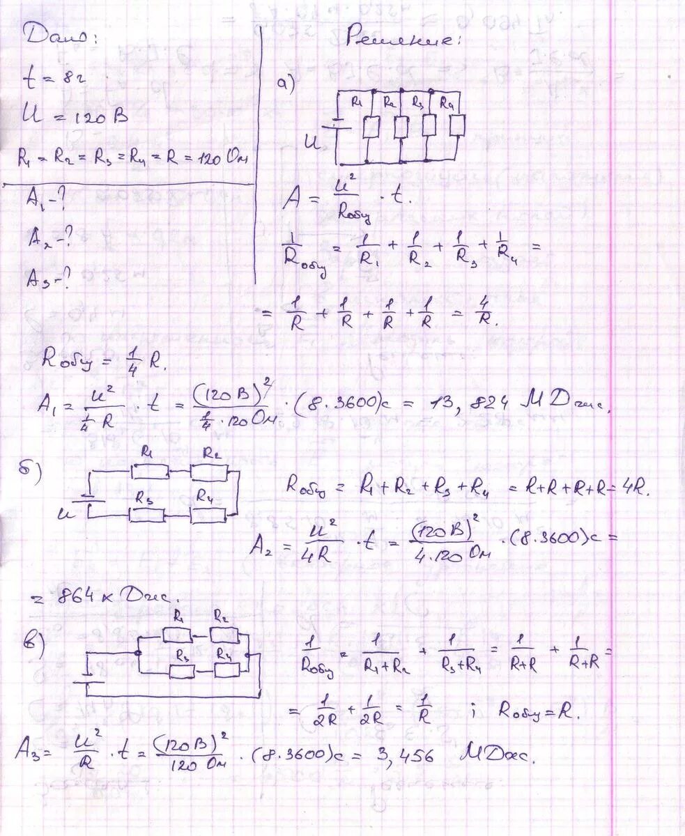
Четыре лампы рассчитанные на напряжение 3 в