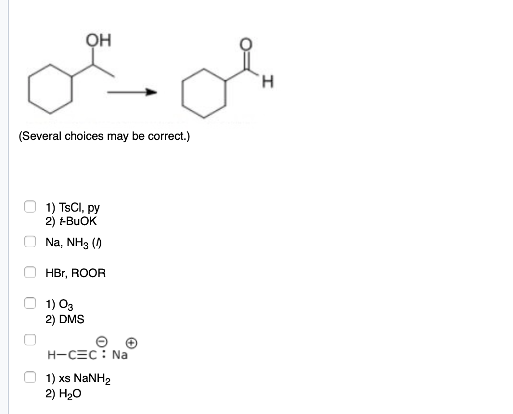
Ch3 2nh hcl