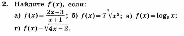
Cdot 5 x 4 5