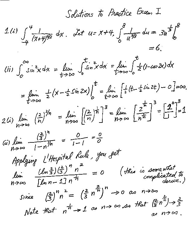
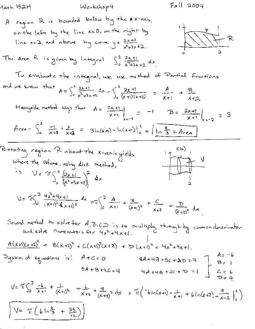
Calculus mathematics