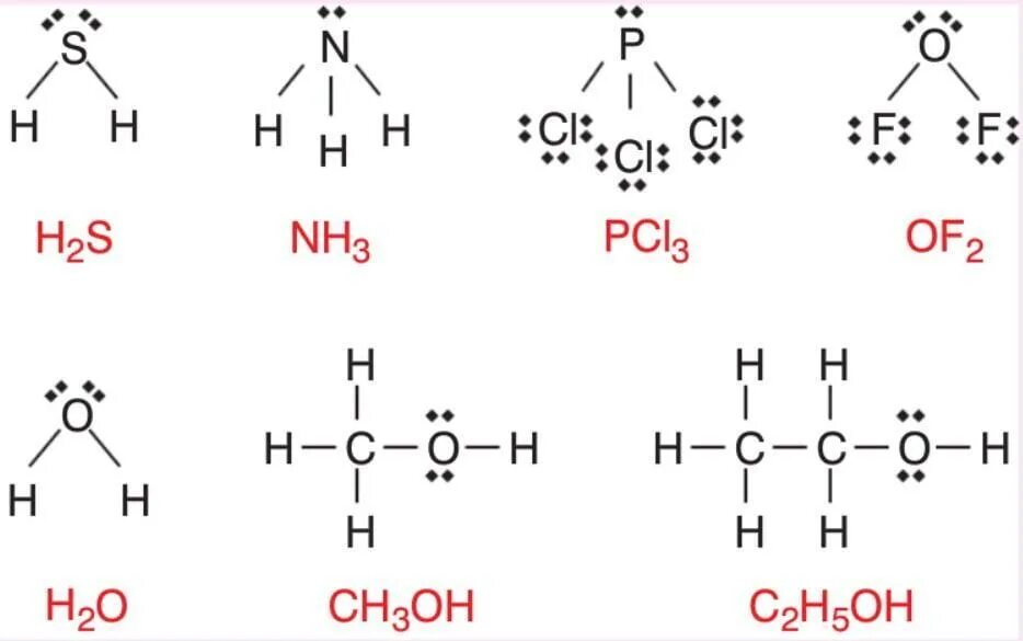
C2h2 строение