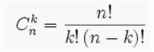
C из n по k