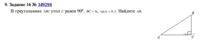
C 90 bc 3 sin a