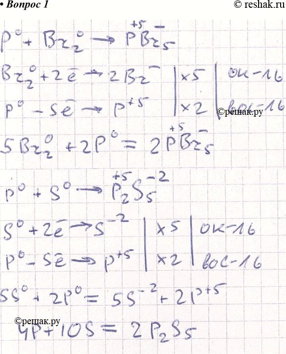
Бром и фосфор реакция