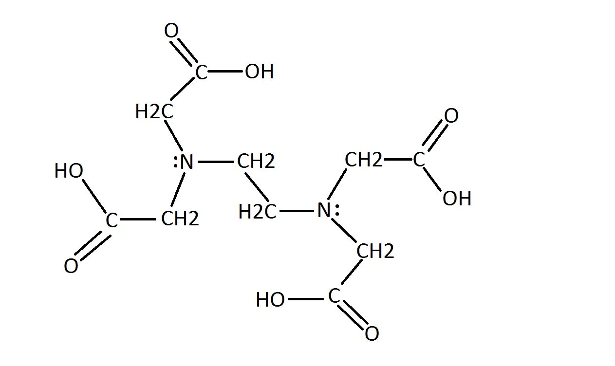
B строение