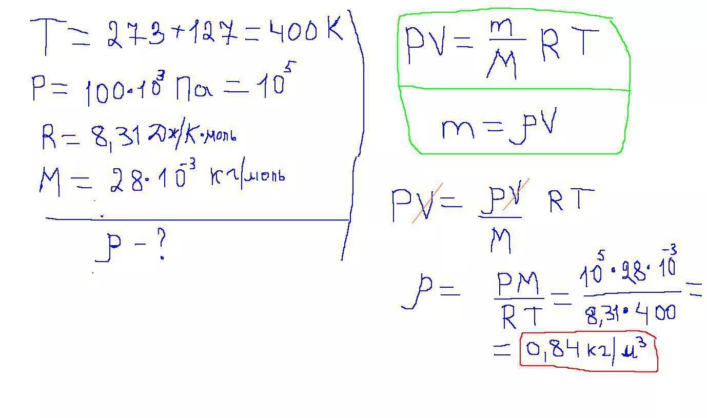
Азот плотность при температуре