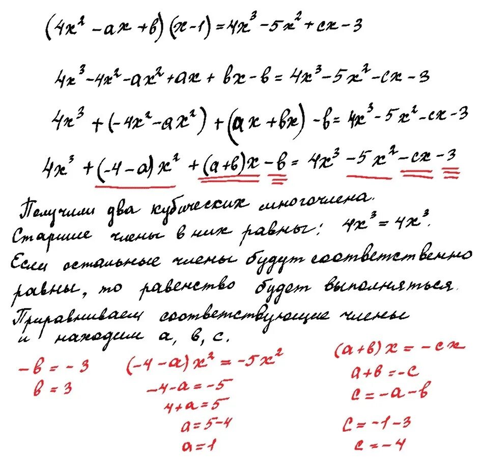
Ax b x a 1 x