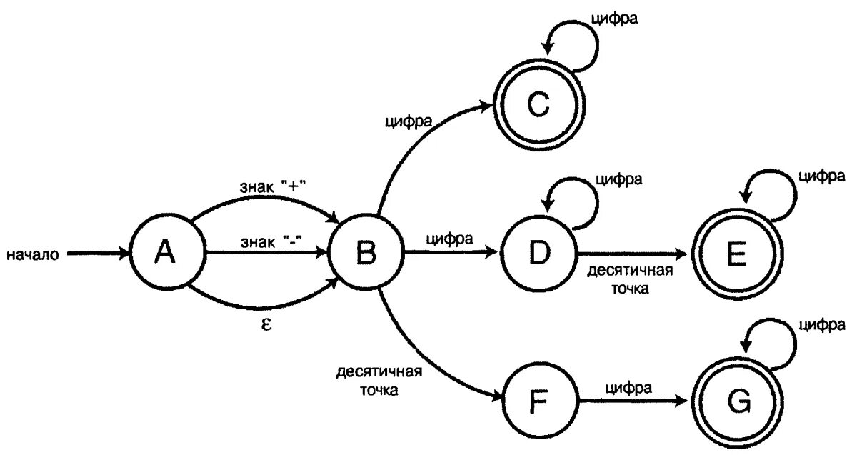
Автоматы алгоритмы