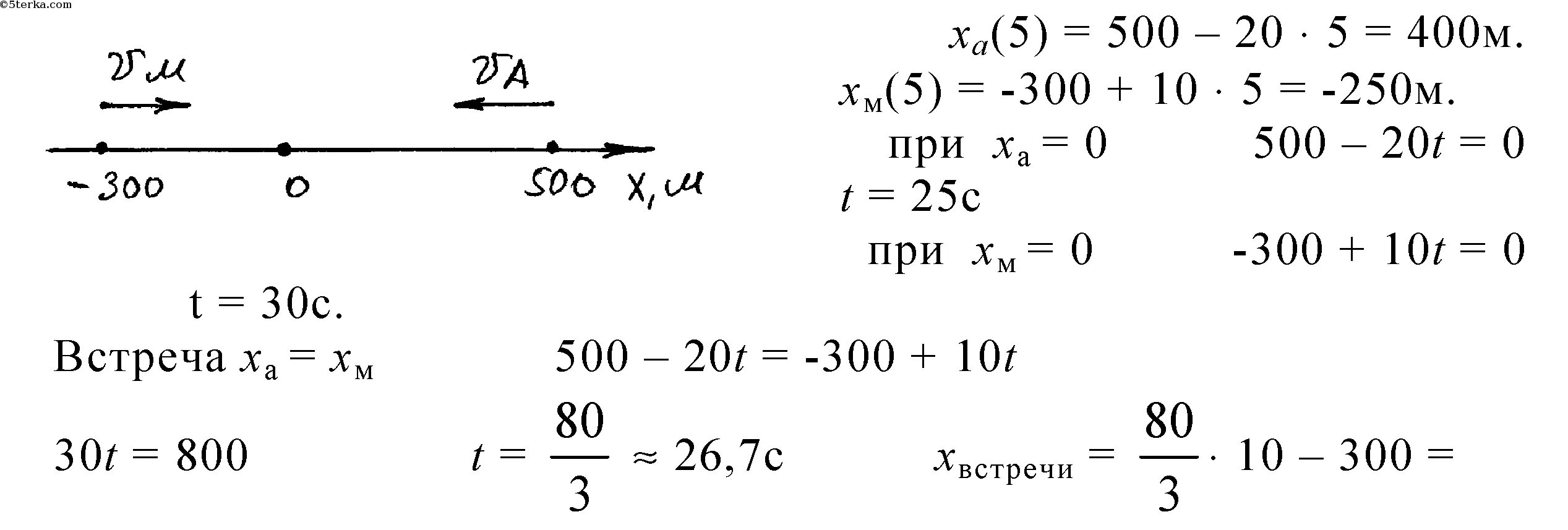
Автобус двигался прямолинейно