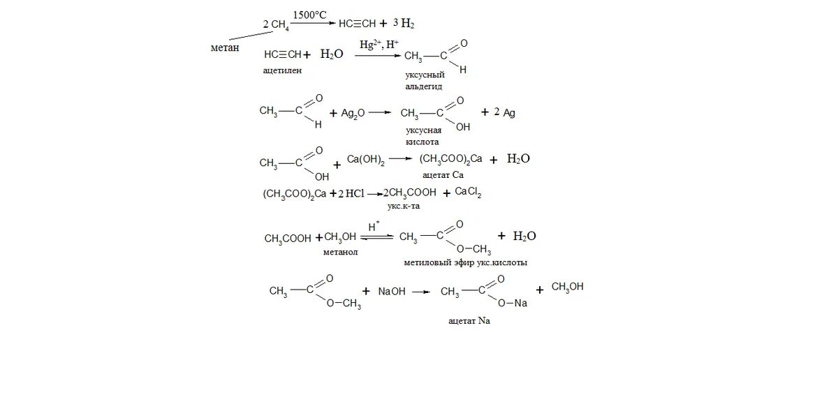
Ацетат натрия метан ацетилен