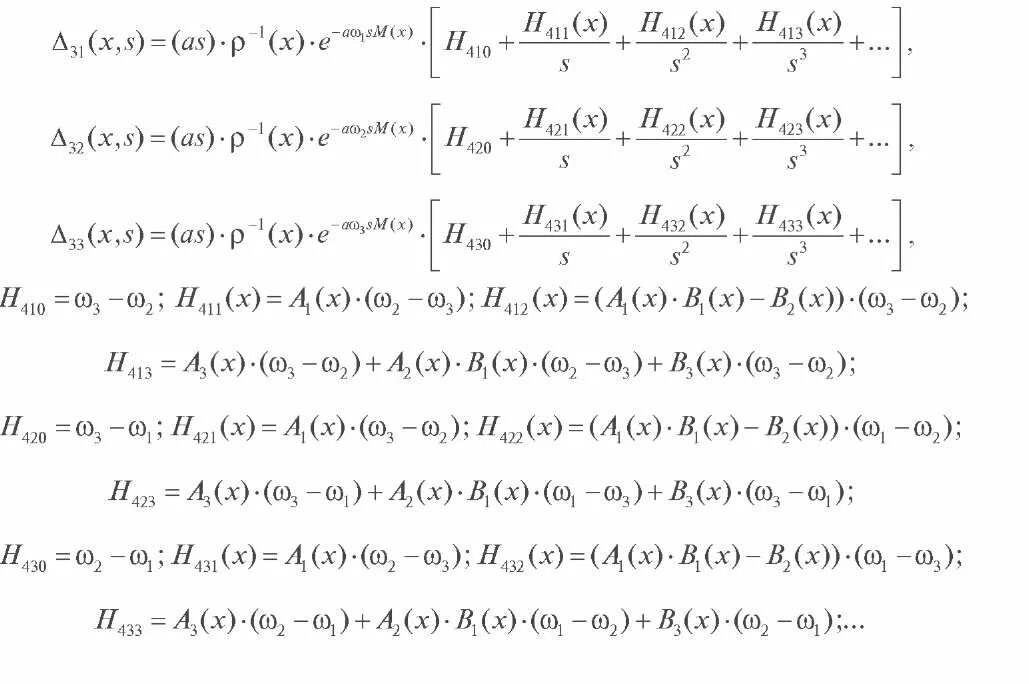
Асимптотика алгоритма