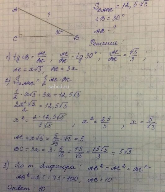
Ас 3 вариант 4