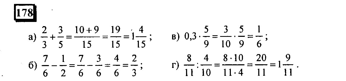
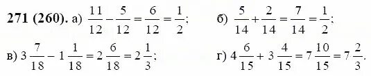
Апр по математике 6 класс 1 вариант