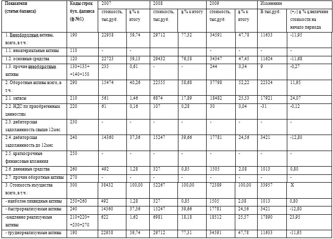
Анализ состава структуры имущества предприятия