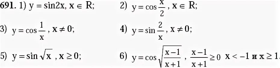
Алиев 10 11 алгебра