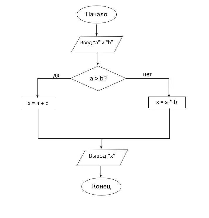
Алгоритм задан блок схемой