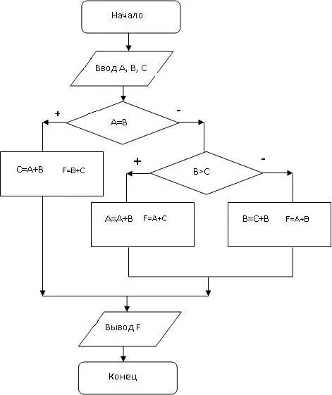
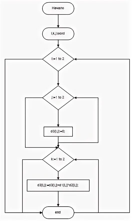
Алгоритм выполнения практических заданий