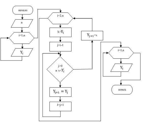
Алгоритм прима c