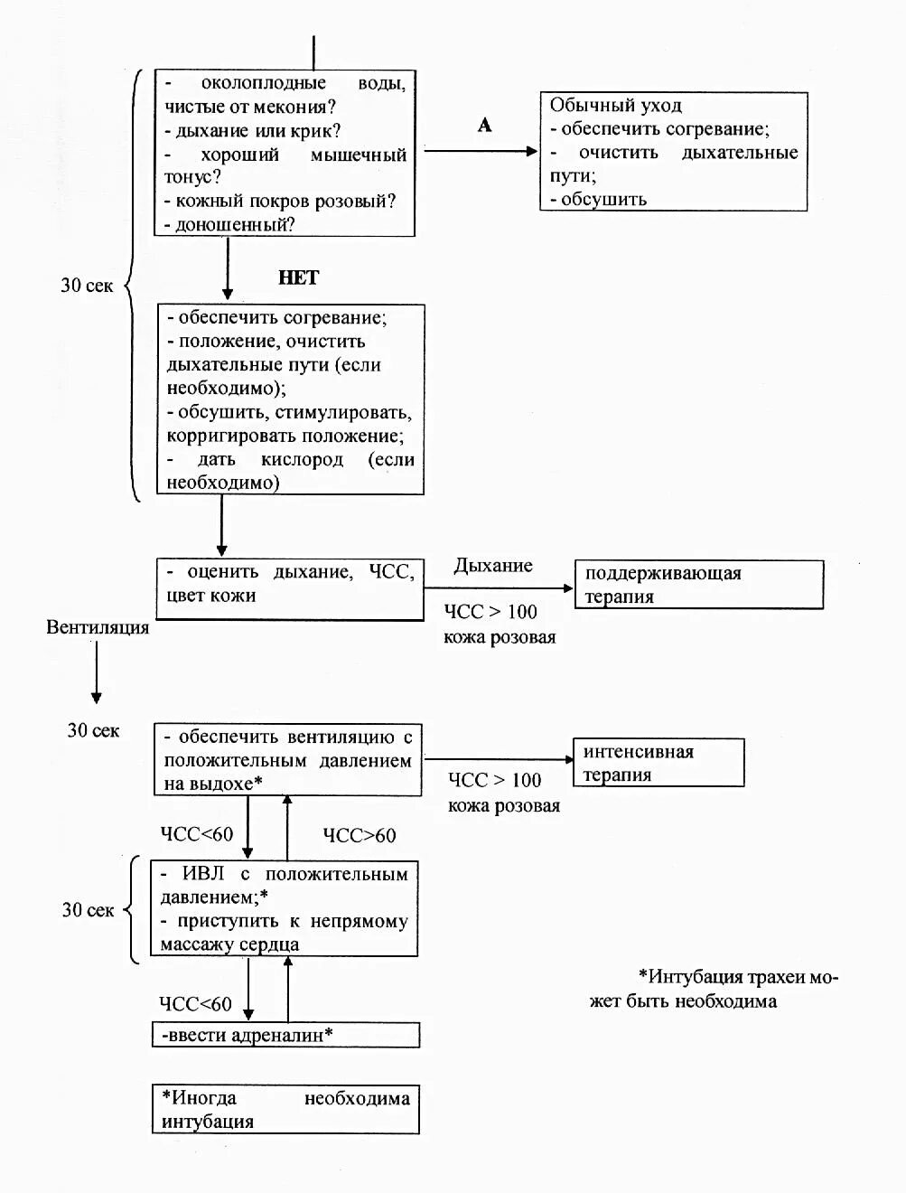
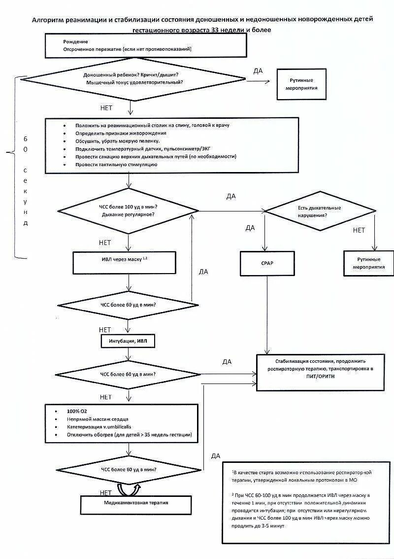
Алгоритм при асфиксии новорожденного