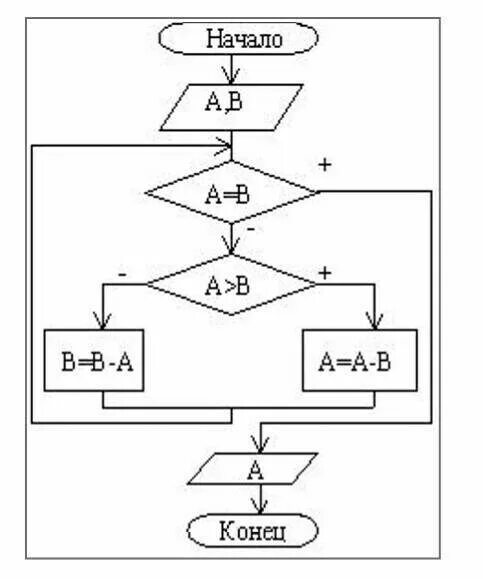
Алгоритм евклида блок схема