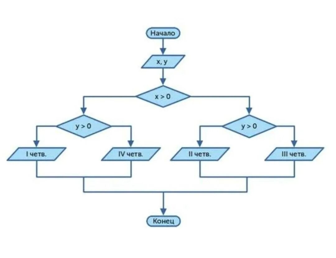
Алгоритм 13.2