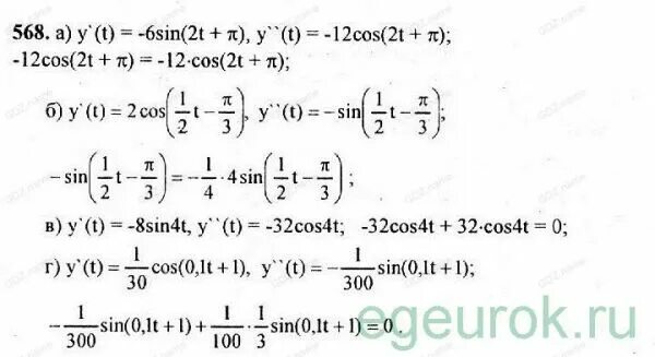
Алгебра а н колмогорова