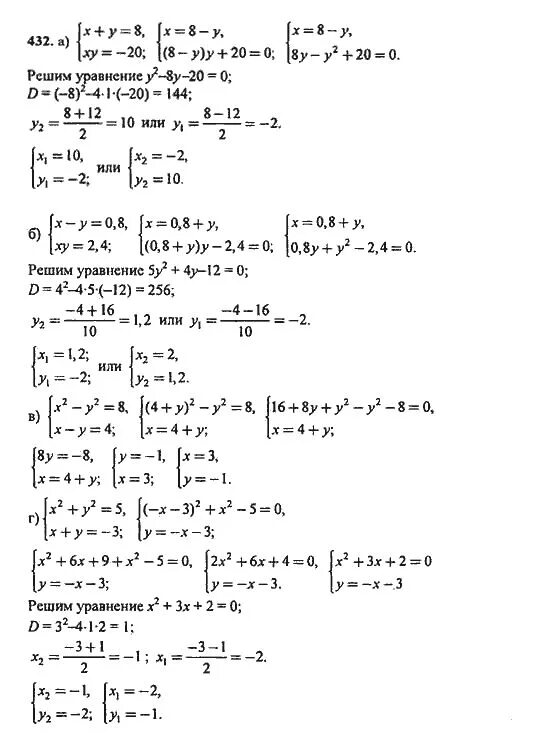
Алгебра 9 класса упражнение 8