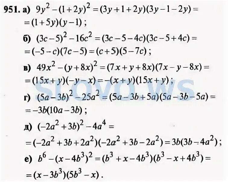
Алгебра 9 класс н г миндюк