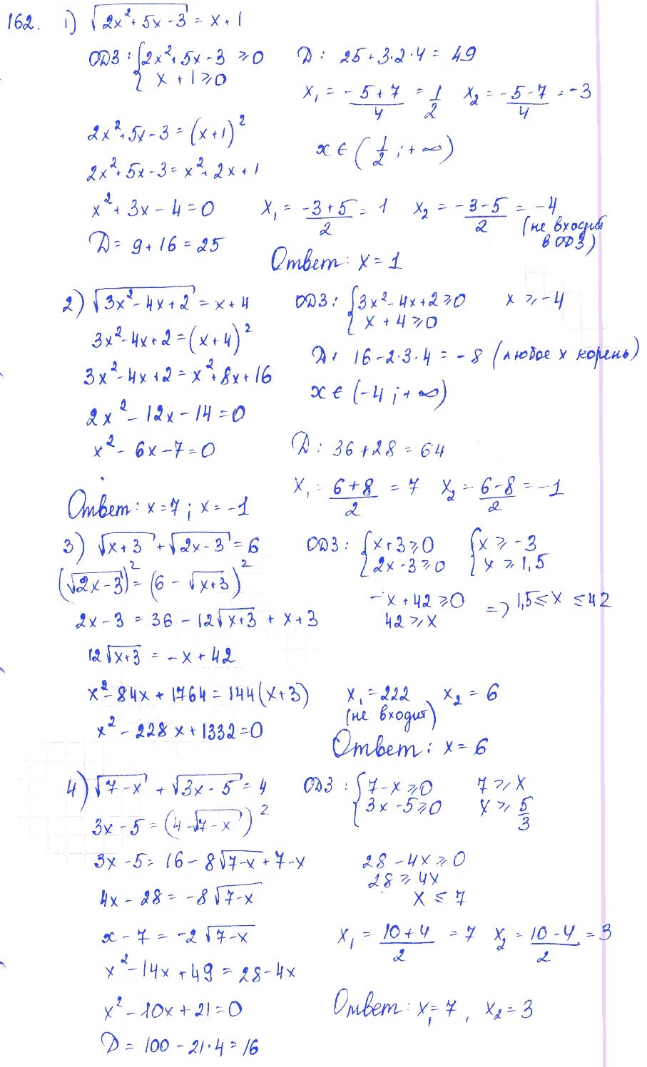
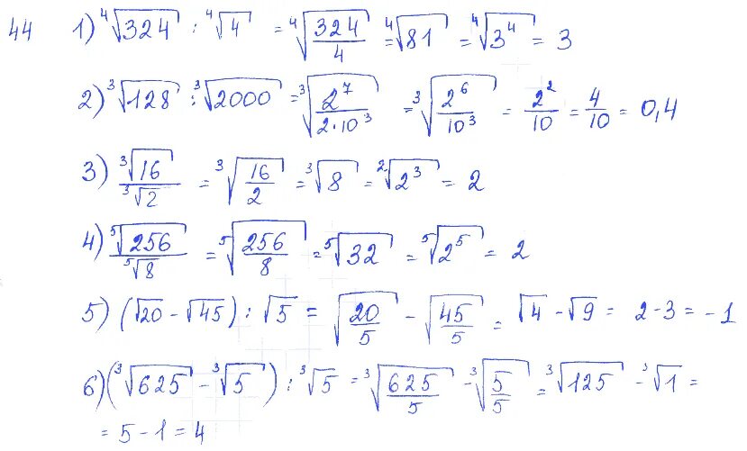
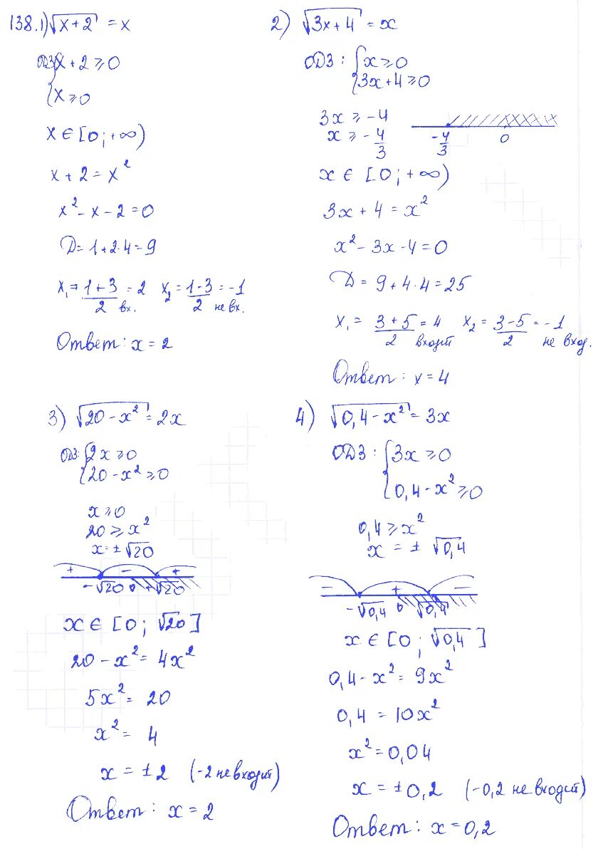
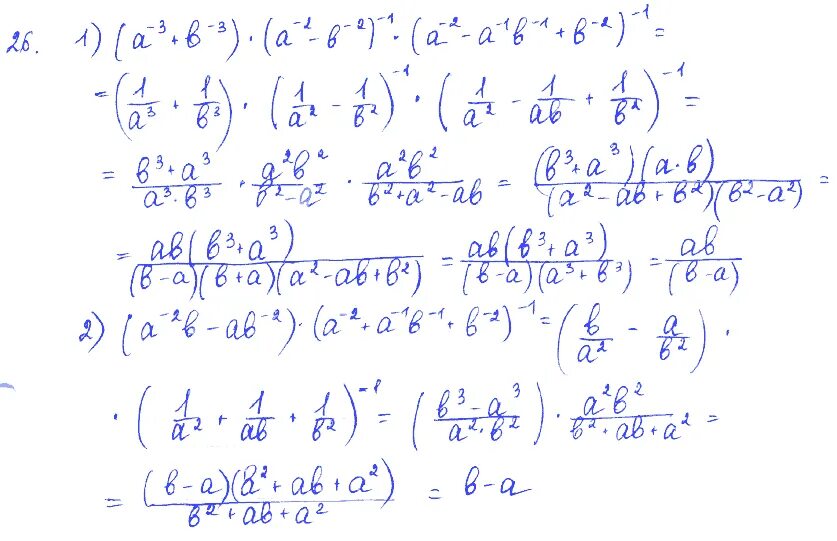
Алгебра 9 класс колягин ткачева федорова