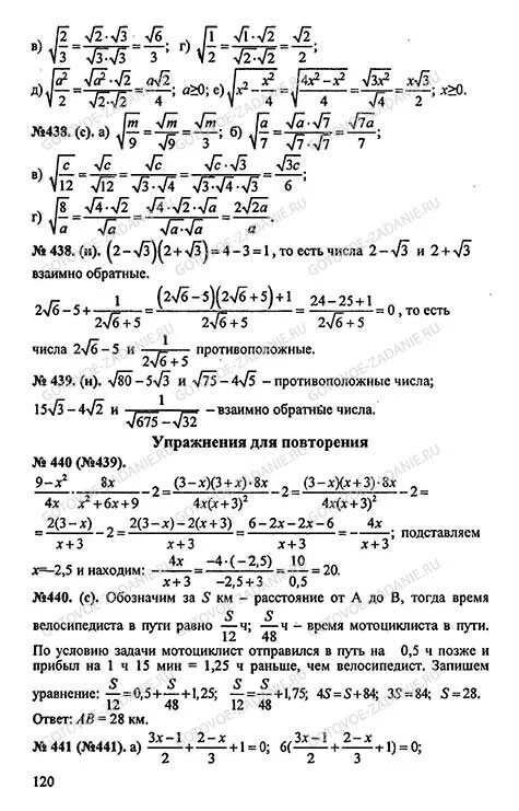
Алгебра 8 макарычев миндюк феоктистов