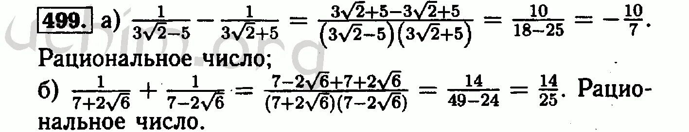
Алгебра 8 класс макарычев рациональные выражения