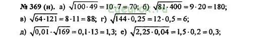
Алгебра 8 класс макарычев номер 389