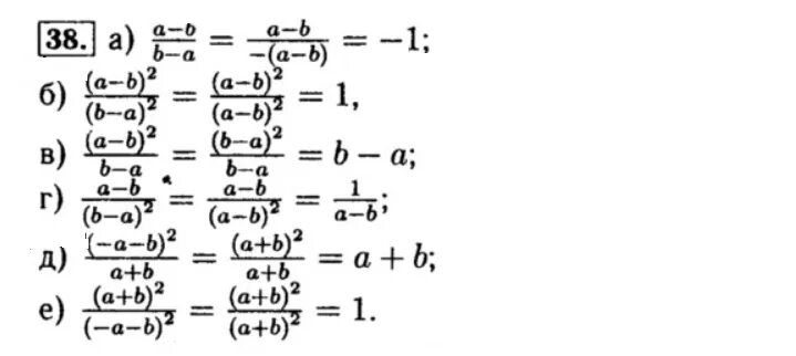
Алгебра 8 класс 2 урок