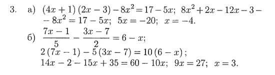
Алгебра 7 класс задание 3