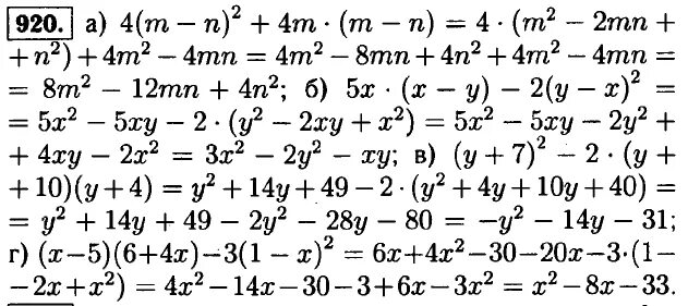
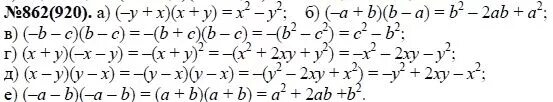
Алгебра 7 класс упражнение 920